Открытое интервью
16+
Реклама ООО «ИНБРЭС»
ИНН: 2130023771
ERID: 2VfnxxD5KoG
Компактные решения для транспозиции экранов В избранное
В избранное Компактные решения для транспозиции экранов

В российских электрических сетях 6-500 кВ широко применяют однофазные кабели с изоляцией из сшитого полиэтилена. Актуальным для этих кабелей является грамотный выбор оптимальной схемы заземления экранов.

В статье показано, что для многих КЛ, в том числе КЛ среднего напряжения 6-35 кВ, простое двустороннее заземление экранов кабелей экономически не выгодно и должно заменяться транспозицией.

Тем более что в настоящее время появились компактные и безопасные узлы транспозиции.

Особенности современных КЛ

На рис. 1 (а) показана типовая конструкция однофазного кабеля, который применяют при строительстве КЛ классов напряжения 6–500 кВ. В трехфазных сетях используют одновременно три однофазных кабеля, размещая их, например, сомкнутым треугольником (б) или в ряд (в).

Важной особенностью однофазного кабеля является наличие проводящего экрана (как правило, он выполняется из проволок меди). Экран, при условии его заземления по крайней мере на одном из двух концов кабеля, позволяет выровнять электрическое поле в изоляции и устранить его снаружи кабеля. К сожалению, при проектировании КЛ зачастую принимается решение о заземлении экранов одновременно с обоих концов (схема рис. 2). В результате заземленные экраны образуют замкнутые контуры, где наводятся переменные токи IЭ, обусловленные магнитным полем переменных токов жилы IЖ.


Рис.2. Двустороннее заземление экранов из меди.

Рис.2. Двустороннее заземление экранов из меди.



В зависимости от расстояния между фазами КЛ и сечения экранов FЭ наведенные токи IЭ способны достигать величин, близких току жилы, т.е. IЭ / IЖ → 1. Как следствие, на практике можно наблюдать повышенный нагрев экранов как вдоль всей трассы многих КЛ 6–500 кВ, так и в местах заземления экранов у концевых муфт (фото рис. 2). Чтобы оценить степень опасности наведенных токов и связанного с ними нагрева, необходимо выполнять соответствующие расчеты, которые являются важным разделом проектной документации. Приведем примеры таких расчетов для КЛ 10, 35, 110 кВ.


Расчет двустороннего заземления

В качестве примеров рассмотрим три обычных КЛ, исходные данные по которым представлены в таблице 1:
  • 10 кВ длиной 6 км (случай №1);
  • 35 кВ длиной 4 км (случай №2);
  • 110 кВ длиной 2 км (случай №3).



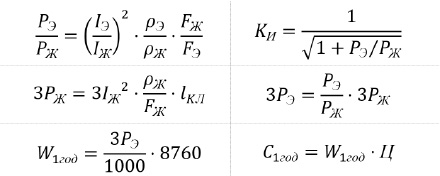
Расчеты двустороннего заземления экранов удобно выполнять по формулам книги «Кабельные линии высокого напряжения» (Дмитриев М.В., 2021, 688 стр.):



где ρЖ, ρЭ — удельные активные сопротивления жилы и экрана (для меди 2,0 •10-8, для алюминия 3,2 •10-8); 1000 — перевод мощности из Вт в кВт; 8760 — число часов в году; — цена электроэнергии. Среднее расстояние между осями трех фаз вычисляется как



Результаты расчетов для двустороннего заземления даны в таблице 2, откуда хорошо видно, что для всех трех рассмотренных КЛ 10, 35, 110 кВ при двустороннем заземлении экранов возникает значительный экономический ущерб:
  • невозможно полностью использовать пропускную способность КЛ (значения KИ для трех линий составляют только лишь 93%, 64%, 51% вместо желаемых 100%);
  • годовая стоимость потерь мощности в экранах КЛ чрезвычайно велика (значения C1год для каждой из трех линий составляют 0.5÷4.5 млн рублей за каждый год работы КЛ, что за 30 лет работы линии составит огромные средства в 15÷135 миллионов рублей).



Учитывая изложенное, для трех рассмотренных КЛ 10, 35, 110 кВ крайне невыгодно и даже опасно (из-за перегрева) применять простое двустороннее заземление экранов. Для трех указанных КЛ следует применять альтернативные схемы заземления экранов.


Расчет транспозиции

Для борьбы с током IЭ и потерями РЭ в экранах известны одностороннее заземление экранов или транспозиция (рис. 3). Для двух этих схем характерно полное использование пропускной способности КЛ (KИ = 1 или 100%) и отсутствие необходимости оплачивать потери мощности в экранах (C1год = 0). К особенностям схем следует отнести появление переменного напряжения UЭ, наведенного на экранах относительно земли. Величина UЭ пропорциональна длине КЛ и не должна превосходить допустимого значения (100 В для нормального режима и 5 кВ для режима КЗ).

Расчеты UЭ, выполненные по методике книги или в программе «Экран», показывают, что одностороннее заземление, как правило, оказывается возможным применять:
  • в сетях 6–35 кВ для КЛ длиной lКЛ<2000 м;
  • в сетях 110–500 кВ для КЛ длиной lКЛ<500 м.


При длинах КЛ, которые выше указанных, напряжение UЭ скорее всего превзойдет допустимые значения. В таких случаях уже нельзя применять одностороннее заземление, а надо использовать более сложное техническое решение — транспозицию экранов (рис. 3).

Рис.3. Транспозиция экранов (один полный цикл).

Рис.3. Транспозиция экранов (один полный цикл).



При транспозиции экранов наведенное напряжение (в расчете на ток 1000 А и длину 1000 м) зависит от величины s⁄dЭ и может быть найдено, например, по рис. 3.19 из книги, или по соответствующей рисунку простой формуле:



Пересчет к актуальным значениям тока IЖ и длины lКЛ:



где N — число полных циклов транспозиции (N=1 для рис. 3).

Для КЛ 10, 35, 110 кВ результаты расчетов UЭ в нормальном режиме и при КЗ даны в табл.3 и с запасом не превышают допустимых значений (100 В и 5 кВ). Поэтому для трех указанных КЛ достаточно выполнить один полный цикл транспозиции экранов (рис. 3).



Современные узлы транспозиции экранов

В трех рассмотренных примерах типовых КЛ 10, 35, 110 кВ в случае двустороннего заземления годовая C1год стоимость потерь в экранах была в диапазоне от 5 до 4.5 млн руб. Следовательно, за время эксплуатации КЛ, составляющее свыше 30 лет, стоимость потерь в экранах достигнет по меньшей мере величин от 15 до 135 млн рублей — это в десятки раз выше стоимости самого современного оборудования, необходимого для реализации схемы транспозиции экранов КЛ. Таким образом, применение транспозиции несомненно выгодно для всех указанных КЛ 10, 35, 110 кВ, а затраты на реализацию транспозиции окупят себя уже за первые 1–2 года работы КЛ.

Транспозиция экранов экономически целесообразна, если она выполняется с помощью полноразмерных полимерных колодцев ПКЭТ (рис. 4, а), являющихся на 100% герметичными, стойкими к воздействию агрессивной среды, электробезопасными. Тем более она будет выгодна, если учесть, что на рынке появились недорогие компактные узлы транспозиции УТП (рис. 4, б), не уступающие по характеристикам полноразмерным.

Уникальность УТП заключается в полной заводской готовности узла, исключающей необходимость электромонтажных работ по вводу проводов транспозиции в колодец, их подключению к коробке транспозиции и герметизации кабельных вводов. Таким образом, полностью решается вопрос потери герметичности и попадания в узел транспозиции воды из-за нарушения технологии электромонтажных работ.

Компактный узел транспозиции УТП поставляется на объект в собранном виде с установленной внутри коробкой транспозиции и выведенными наружу проводами марки Энерготэк ППС. Единственное, что остается выполнить при монтаже, — соединить провода, выходящие из УТП, с проводами, выходящими из транспозиционных муфт КЛ.

Применение компактного узла транспозиции УТП актуально не только для КЛ 6–35 кВ, но и для 110–500 кВ. За счет малых размеров данный узел получил распространение в условиях плотной городской застройки, когда с учетом большого числа проложенных в земле КЛ и высокой стесненности, бывает затруднительно выделить место для установки полноразмерного колодца. Важно, что УТП не только требуют мало места при монтаже, но и весьма удобны в процессе эксплуатации, поскольку доступ к коробам транспозиции осуществляется прямо с поверхности земли (рис. 4,в).




Отдельно стоит отметить особенности коробок транспозиции Энерготэк в составе узлов. Эти коробки имеют продуманную компактную конструкцию и композитный корпус. Ключевыми особенностями коробок можно назвать, например:
  • отсутствие необходимости вскрывать коробку при монтаже, так как присоединение проводов осуществляется снаружи через систему проходных изоляторов;
  • отсутствие необходимости вскрывать коробку на время испытаний наружной оболочки кабелей постоянным напряжением 10 кВ, так как внутри коробки установлены ОПН, не реагирующие на воздействие постоянного напряжения и не мешающие испытаниям (необходимость таких ОПН указана в СТО 34.01–21.1–001–2017 ПАО «Россети»).


В результате, коробки Энерготэк имеют значительные преимущества над продукцией конкурентов: в разы меньшую массу, в полтора–два раза меньшие габаритные размеры, удобство и простоту монтажа и последующей эксплуатации, герметичность, стойкость к коррозии, электробезопасность персонала. Коробки Энерготэк (как и узлы транспозиции экранов) полностью соответствуют требованиям ПАО «Россети».


Заключение

При проектировании следует уделять особое внимание выбору оптимальной схемы заземления экранов КЛ. Все вычисления можно выполнять вручную или в компьютерных программах — например, в бесплатной программе «Экран»: https://ekran.energotek.ru/.

Расчеты токов и потерь мощности в экранах и связанного с ними экономического ущерба свидетельствуют, что применение простого двустороннего заземления экранов является экономически невыгодным для большинства КЛ 110–500 кВ и КЛ 6–35 кВ. Для борьбы с потерями в экранах кабелей и повышения пропускной способности КЛ 6–500 кВ сегодня на рынке России имеются специализированные решения — это узлы транспозиции Энерготэк (рис. 4, а, б, в), учитывающие любые условия сложности трассы КЛ и степени ее стесненности. Важно, что согласно требованиям технической политики и стандартов ПАО «Россети», с целью электробезопасности персонала сетей, а также защиты от коррозии и проникновения воды узлы транспозиции Энерготэк сделаны из полимерных материалов.



192007, Санкт-Петербург,
Лиговский пр., 140
8-800-500-48-31
info@energotek.ru
www.energotek.ru



Бесплатная программа «Экран»
1510 Поделиться
Распечатать Отправить по E-mail
Подпишитесь прямо сейчас! Самые интересные новости и статьи будут в вашей почте! Подписаться
© 2001-2026. Ссылки при перепечатке обязательны. www.eprussia.ru зарегистрировано Федеральной службой по надзору в сфере связи, информационных технологий и массовых коммуникаций (Роскомнадзор), регистрационный номер и дата принятия решения о регистрации: № ФС 77 - 68029 от 13.12.2016 г.